Dimitri Snowden & Christeline Petersen divorce documents
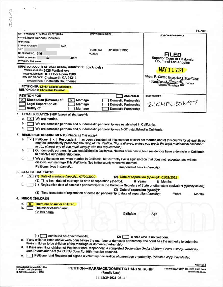
We reported yesterday that Seeking Sister Wife star Dimitri Snowden has officially filed for divorce from his estranged South African wife Christeline Petersen. At the time of our initial post, the actual dissolution of marriage filing was not yet available via the court. That has since changed and we have gotten a copy of the three-page document.
There’s not a ton of information to glean from the filing, but there are some interesting tidbits. Perhaps the most interesting is that Dimitri and Christeline were married almost a year ago! The filing states that the two were officially married on July 9, 2020.
The couple were married for a little more than six months before they officially separated on January 21, 2021. That lines up with the dates in Christeline’s restraining order filed against Dimitri. In that document, Christeline alleges that Dimitri attacked her on January 13.
“I was woken up by him slamming my head into the headboard of the bed and he was yelling at me,” Christeline states. “My head was slammed into the headboard several times.”
Christeline says she filed a police report on January 22, which would be one day after she and Dimitri officially separated. (Christeline also claims that the alleged attack on January 13 wasn’t the first abusive incident during their marriage. She says that Dimitri abused her “numerous times in the last year.”)
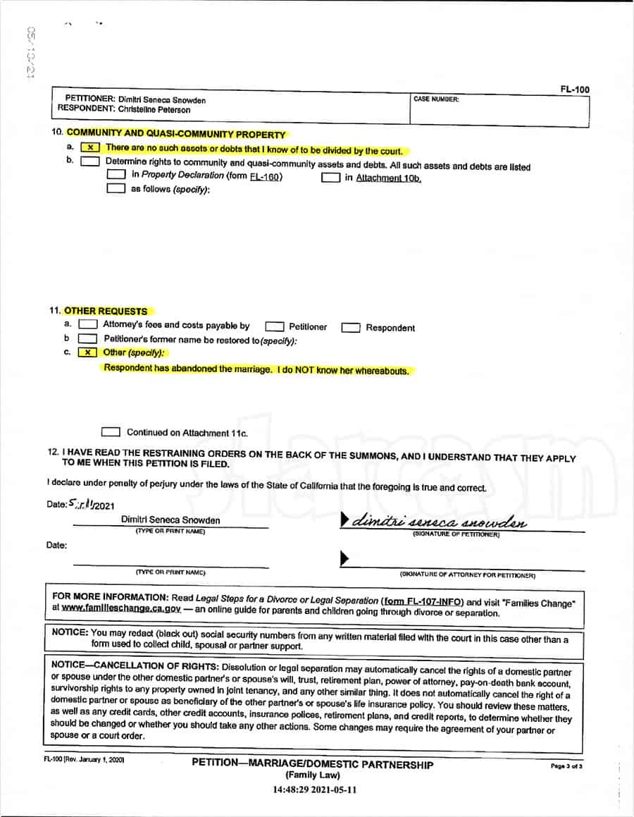
Under “legal grounds” for the divorce, Dimitri checks the “irreconcilable differences” box. Later in the filing he adds: “Respondent has abandoned the marriage. I do NOT know her whereabouts.” This verifies what former sister wife Ariadne Joseph has stated about Christeline and her two daughter being in hiding right now.
Here are some additional things that Dimitri selected under various headings:
MINOR CHILDREN: There are no minor children.
SPOUSAL OR DOMESTIC PARTNER SUPPORT: Terminate (end) the court’s ability to reward support to Respondent.
SEPARATE PROPERTY: There are no such assets or debts that I know of to be confirmed by the court.
COMMUNITY AND QUASI-COMUNITY PROPERTY: There are no such assets or debts that I know of to be divided by the court.
The filing includes Dimitri’s address [redacted for this post] which is the same house featured on the current season of Seeking Sister Wife. According to online real estate records, the 4-bedroom, 2,000 square foot house was rented in July of 2018 for $5,900 a month.
According to court records, Dimitri and Christeline’s divorce does not have a hearing scheduled yet. We will continue to monitor the case and will share any major updates. To get all caught up on the controversies surrounding the Snowdens, including the allegations of abuse by Christeline and others, be sure to check out our extensive coverage!
Here are all three pages of the Dimitri Snowden and Christeline Petersen divorce documents — click to enlarge:
Asa Hawks is a writer and editor for Starcasm. You can contact Asa via Twitter, Facebook, or email at starcasmtips(at)yahoo.com




